本网讯 稀土素有“工业黄金”之称,在发光材料、磁性材料、储氢材料等中扮演着重要角色。稀土功能配合物是配位化学研究前沿,其性能丰富、结构可调,在单分子磁体、诊断造影等领域具有重要应用前景。近日,金年会体育
缪乐平博士联合浙江师范大学、中科院上海物理研究所研究团队,利用分子工程策略,在层状稀土配合物中实现了面外极化的铁电性(图1)。该研究以“Molecular Engineering Regulation Achieving Out-of-Plane Polarization in Rare-Earth Hybrid Double Perovskites for Ferroelectrics and Circularly Polarized Luminescence”为题,发表在《Angewandte Chemie-International Edition》(化学领域顶级期刊),金年会体育
为论文第一完成单位。

图1.分子工程调控实现面外铁电极化
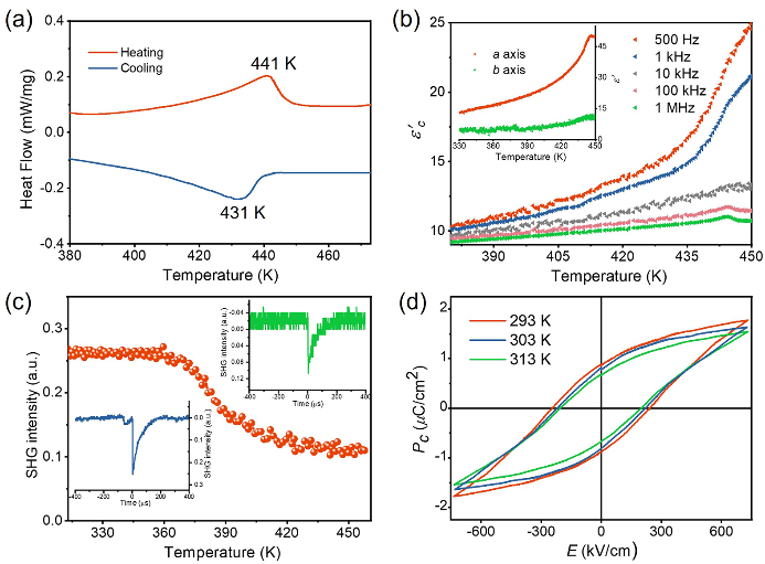
由于层状材料容易成膜,层状铁电材料是制备铁电薄膜器件的首选。尽管最近几年有一些层状铁电配合物报道,但是这些材料大多都只显示面内极化,不利于器件应用。缪乐平等基于“铁电化学”,利用稀土离子丰富的配位模式,引入手性,构建了钙钛矿型层状手性稀土配合物,在有机组分上进行F取代,通过F取代效应成功调节实现了面外极化的铁电性。该材料不仅表现出多极轴面外铁电性和铁电-铁弹性,还具有圆偏振发光(CPL),在下一代微-纳光电器件领域显示了应用潜力(图2)。该成果不但为稀土铁电材料在新光电器件中的应用提供更多可能,也为稀土功能配合物的研究提供了新思路。



图2.稀土杂化双钙钛矿的铁电性与CPL
据悉,该研究受到了国家自然科学基金委、江西省自然科学基金委、功能晶态材料化学江西省重点实验室的支持。
(文、图/缪乐平 编辑/汤梦莹)